ロシア漁業ニュースヘッドライン

北海道機船漁業協同組合連合会 一般社団法人北洋開発協会

2013-03-01から1ヶ月間の記事一覧

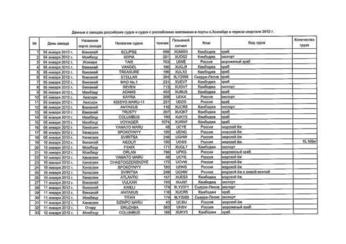
2012年1月-3月のロシア船とロシア人乗組員外国船の北海道の港への寄港データ

ロシア独占禁止庁の視線がノルウエー産サーモンに向けられる

2013年3月28日 モスクワ発 [ロシア独占禁止庁の視線がノルウエー産サーモンに向けられる] ロシア独占禁止庁カルテル担当部門は、ロシア市場におけるノルウエー産サーモンの供給に関する調査についてノルウエー当局と協議した。 今月2013年3月上…

沿海地方国境警備局がナマコ密漁者3名を拘束

2013年03月26日 ウラヂオストク発 [沿海地方国境警備局がナマコ密漁者3名を拘束] ロシアFSB沿海地方国境警備局は、2013年3月24日、ナマコ密漁者3名を拘束したと発表した。 この3名は、全員、スラブヤンカ地域の住人で、当日深夜、地元…

ロシアが南アフリカとの漁業分野の協力に関する共同宣言に署名

2013年03月27日 モスクワ発 [ロシアが南アフリカとの漁業分野の協力に関する共同宣言に署名] ロシア漁業庁は、BRICS関連会議出席のため南アフリカのダーバンへ出張中の同庁長官クライニーが、南アフリカ農林水産当局代表者と2ケ国間会合を行い…

ロシア漁業ニュースヘッドライン 2013年04月  http://kisenren.com

2013年04月10日 ユ-ザ- 各位 拝啓 時下ますますご隆昌のこととお慶び申し上げます。日頃は格別のお引き立てを賜り厚く御礼申し上げます。 さて、ロシア中央連邦管区調査委員会が、2013年2月、刑法292条1項(文書偽造)の疑いで、ロシア漁…

ロシアFOC/IUU取締情報130“SeaDream”

2013年03月25日 サハリン発 [カニ密漁カンボジアFOC船船長に20万ルーブルの罰金] コルサコフ市裁判所は、カニの密漁を行ったカンボジアFOC船のロシア人船長に対して、刑法256条3項(水棲生物資源の違法漁獲)に基づき60万ルーブルの罰…

Герман Зверев

Герман Зверев Погранслужба ФСБ не предоставила для поручений президента прорывных предложений по борьбе с браконьерством. Старая жвачка. Герман Зверев ‏ 23 марта 2013 Президент Ассоциации добытчиков минтая. http://www.pollock.ru

サハリン・クリール海域のTAC設定公聴会を開催

2013年03月22日 サハリン発 [サハリン・クリール海域のTAC設定公聴会を開催] ロシア漁業庁サハリン地域管理局は、来年2014年のサハリン・クリール管轄のロシア排他的経済水域および大陸棚海域の水棲生物資源のTAC設定にかかる公聴会を開催…

ロシアが欧州委員会とIUU漁業防止について協議する

2013年03月21日 モスクワ発 [ロシアが欧州委員会とIUU漁業防止について協議する] ロシア漁業庁は、同庁長官クライニーが代表となり、本日2013年3月21日、欧州委員会海事漁業部門の代表者と会合を行うと発表した。 欧州委員会の代表はマリ…

外国企業に支配された極東漁業会社の漁獲割当は取り上げるべき

2013年03月21日 モスクワ発 [外国企業に支配された極東漁業会社の漁獲割当は取り上げるべき] 現在のロシアの漁獲割当設定は、2018年まで有効(*報告担当者 原口:更新は10年ごとで、現在の設定は2008年から行われている)であり、関係当局…

カニの密漁密輸は依然続いているが減少傾向にある

2013年03月20日 ウラヂオストク発 [カニの密漁密輸は依然続いているが減少傾向にある] ロシア太平洋海洋漁業研究所チンロセンター広報担当オシポフは、ロシア極東におけるカニの密漁密輸は依然として続いているが減少傾向にあると指摘した。 現在、…

ヴァルペ会長を漁業庁副長官ファミンが兼務する可能性

2013年03月16日 モスクワ発 [ヴァルペ会長を漁業庁副長官ファミンが兼務する可能性] 2013年3月14日、モスクワにおいて全ロシア漁業者水産物輸出者協会ヴァルペ(ВАРПЭ)は幹部会合をもち、同年3月26日、総会を開催して、会長を含めた役員…

カニ漁獲枠オークションにかかる公判が始まる

2013年03月14日 ウラヂオストク発 [カニ漁獲枠オークションにかかる公判が始まる] 本日2013年3月14日、現地時間15:00から、海事仲裁裁判所において、カニ漁獲枠オークション不正容疑の第1回目の公判が始まる。 この事件は、2012年…

水産会社2社が付加価値税の大規模脱税容疑で摘発される

2013年3月13日 モスクワ発 [水産会社2社が付加価値税の大規模脱税容疑で摘発される] ロシア捜査当局は、水産物卸売会社“Грумант”(グルマン)と “Турий”(トウリ)の元役員による、2009年から2011年の活動での付加価値税の大規模脱税を摘発…

密漁者は日本人ではない ロシア人が密漁を行い外国水産会社がそれを幇助する

2013年03月12日 モスクワ発 [密漁者は日本人ではない ロシア人が密漁を行い外国水産会社がそれを幇助する] ロシアFSB国境警備庁は、昨年2012年、水棲生物資源の違法漁獲に特化した、60の犯罪集団を摘発し、38集団については、完全にその…

韓国はカニ密漁密輸問題についてロシアへ報告する

2013年03月11日 ウラヂオストク発 [韓国はカニ密漁密輸問題についてロシアへ報告する] 韓国当局は、ロ韓IUU漁業(密漁密輸)防止協定に基づき、実際に行う措置等についてロシア当局へ通報した。 韓国当局の通報先は、ロシア漁業庁沿海地方管理局…

韓国タラバガニ市場 ロシア産の減少をノルウエー産と米国産が補う

킹크랩 수입시장 다변化 러산 물량 줄어 노르웨이•미국산 대체 2013年03月13日 韓国発 [韓国タラバガニ市場 ロシア産の減少をノルウエー産と米国産が補う] 韓国タラバガニ市場は、ロシア産が主だったが、韓ロIUU漁業協定等に関連し貿易が鈍化、そ…

漁業庁副長官ファミンが日本公使とIUU漁業防止について会談

2013年03月08日 モスクワ発 [漁業庁副長官ファミンが日本公使とIUU漁業防止について会談] ロシア漁業庁は、同庁副長官ファミンが在ロシア大使館“Тадаацу Мори”(もうりただあつ)公使と会談し、二国間のIUU漁業(密漁密輸)防止対策について話…

カニ漁業スキャンダルの調査が続く ドレムリュガに関心が集まる

2013年03月06日 ウラヂオストク発 [カニ漁業スキャンダルの調査が続く ドレムリュガに関心が集まる] 沿海地方におけるカニ漁獲枠オークションにかかるスキャンダルの調査が続いており、当事者の企業家ドレムリュガに関心が集まっている。 その中にあ…

スケトウダラ漁業者協会が独占禁止庁の結論を2月25日付提訴

2013年03月05日 モスクワ発 [スケトウダラ漁業者協会が独占禁止庁の結論を2月25日付提訴] 業界のカルテルを確認したとする、ロシア独占禁止庁の委員会調査結果2012年12月12日付No.98/11-1について、ロシアスケトウダラ漁業者協会…

インターポールはIUU漁業と戦う

2013年03月04日 モスクワ発 [インターポールはIUU漁業と戦う] 国際刑事警察機構インターポールは、水棲生物資源の密漁ビジネスと、関連する犯罪を撲滅するため、新たな活動"Скейл"(スケール)に取り組むことを決めた。 2013年2月26日から…

ロシアとカナダがIUU漁業防止覚書の実行状況を協議

2013年03月01日 モスクワ発 [ロシアとカナダがIUU漁業防止覚書の実行状況を協議] ロシア漁業庁は、カナダ水産海洋省とオタワにおいて、IUU漁業(密漁密輸)防止の実行状況にかかる実務協議を行ったと発表した。 この協議では、2012年7月…

独占禁止庁長官が灰色操業の漁獲割当を剥奪する必要があると指摘

2013年03月01日 モスクワ発 [独占禁止庁長官が灰色操業の漁獲割当を剥奪する必要があると指摘] ロシア連邦独占禁止庁長官アルテミエフは記者会見を行い、ロシア極東の53の漁業会社とロシアスケトウダラ漁業者協会を調査した結果、26の漁業会社と…